• 办学理念:和实向上
  • 办学思路:特色立校,多元发展
  • 校训:日慈日进
  • 校风:厚德修身,精技立业
  • 学风:尊师明礼,实学善用
  • 教风:爱生乐教,勤思敏行
加入收藏

国家首批中等职业教育改革发展示范学校

国家级高技能人才培训基地国家级重点中专学校

通知公告
通知公告

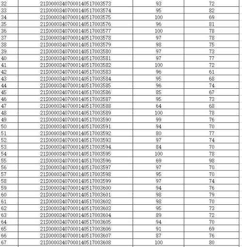
职业技能等级认定考试成绩公示

【文章来源:】 【发布人:】 【发布时间:2021-11-10】 【点击量: